1. 우선순위큐
-PriorityQueue는 먼저 들어온 순서대로 데이터가 나가는 것이 아닌 우선순위를 먼저 결정하고 그 우선순위가 높은 엘리먼트가 먼저 나가는 자료구조입니다.
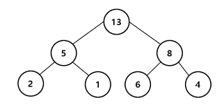
-우선순위 큐는 힙을 이용하여 구현하는 것이 일반적입니다.
-데이터를 삽입할 때 우선순위를 기준으로 최대힙 혹은 최소 힙을 구성하고 데이터를 꺼낼 때 루트 노드를 얻어낸 뒤 루트 노드를 삭제할 때는 빈 루트 노드 위치에 맨 마지막 노드를 삽입한 후 아래로 내려가면서 적절한 자리를 찾아서 옮기는 방식으로 진행됩니다.

2. Priority Queue의 특징
1) 높은 우선순위의 요소를 먼저 꺼내서 처리하는 구조 (큐에 들어가는 원소는 비교가 가능한 기준이 있어야함)
2) 내부 요소는 힙으로 구성되어 이진트리 구조로 이루어져 있음
3) 내부구조가 힙으로 구성되어 있기에 시간 복잡도는 O(NLogN)
4) 응급실과 같이 우선순위를 중요시해야 하는 상황에서 쓰임

3. 사용 법
//int형 priorityQueue 선언 (우선순위가 낮은 숫자 순)
PriorityQueue<Integer> priorityQueue = new PriorityQueue<>();
//int형 priorityQueue 선언 (우선순위가 높은 숫자 순)
PriorityQueue<Integer> priorityQueue = new PriorityQueue<>(Collections.reverseOrder());
//String형 priorityQueue 선언 (우선순위가 낮은 숫자 순)
PriorityQueue<String> priorityQueue = new PriorityQueue<>();
//String형 priorityQueue 선언 (우선순위가 높은 숫자 순)
PriorityQueue<String> priorityQueue = new PriorityQueue<>(Collections.reverseOrder());
Priority Queue 값 추가
priorityQueue.add(1); // priorityQueue 값 1 추가
priorityQueue.add(2); // priorityQueue 값 2 추가
priorityQueue.offer(3); // priorityQueue 값 3 추가
Priority Queue 값 삭제
priorityQueue.poll(); // priorityQueue에 첫번째 값을 반환하고 제거 비어있다면 null
priorityQueue.remove(); // priorityQueue에 첫번째 값 제거
priorityQueue.clear(); // priorityQueue에 초기화'Java > Java 문법' 카테고리의 다른 글
| [JAVA] 자바 문자열 다루기 (0) | 2022.01.07 |
|---|---|
| [Java] Map 모든 인덱스 조회하기 (0) | 2021.07.22 |
| [java] 플로이드-워셜 알고리즘 (Floyd-Warshall Algorithm) (0) | 2021.04.28 |
| [java] 선택정렬 (Select Sort) (0) | 2021.04.28 |
| [java] 객체 정렬 Comparable과 Comparator (0) | 2021.04.28 |